《自然》《科学》一周(7.20-7.26)材料科学前沿要闻
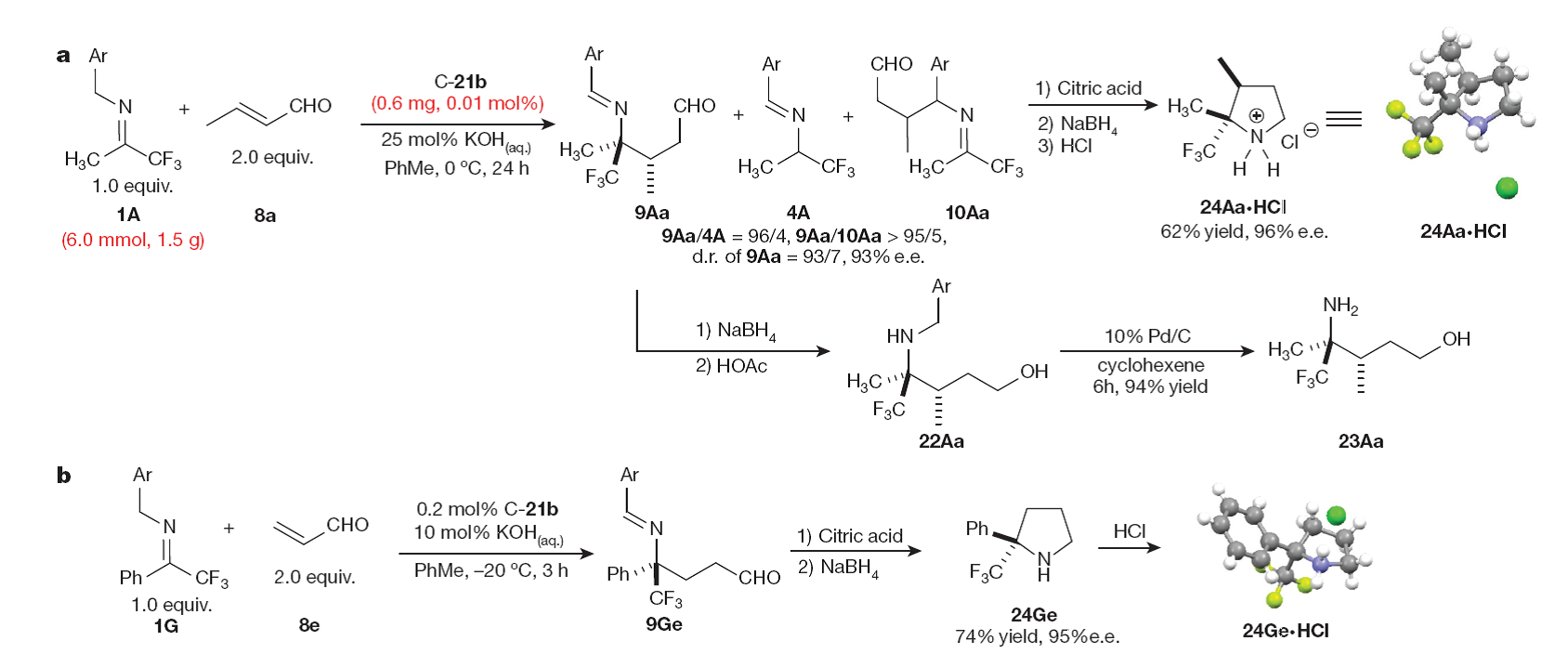
1.亚胺基的不对称催化极性反转反应
(Catalytic asymmetric umpolung reactions of imines)

在有机化学中,亚胺类化合物中的碳氮双键是一类非常重要的官能团。这主要是因为亚胺基可以作为亲电试剂进攻碳亲核试剂,形成碳-碳键。这类反应无论在有机合成或是在药物合成中都有非常广泛的应用。不过如果亚胺基中的碳原子可以富电子,那么亚胺基同样也可以作为亲核试剂,这将催生很多新的反应生成。 Wu 等人开发了一种新型的手性相转移催化剂,可以高效催化亚胺基的不对称极性反转反应。这类反应的容忍性很强,可在有水份和氧气的环境中发生。这种极性反转反应为制备手性胺类化合物提供了新方法。(Nature doi: 10.1038 / nature 14617 )
2.分层紧扣的皮芯复合纤维用于超弹性电子器件、传感器和肌肉
(Hierarchically buckled sheath-core fibers for superelastic electronics, sensors, and muscles)

想想一下可伸展的电子皮肤用处有多大。例如,你可以将它覆盖在飞机机身或是人的身体上,制造出集传感、计算、储能和人造肌肉的为一体的电子网络。不过,实现这一目标是很困难的,因为很难使电子器件在这些表面上伸展。 Liu 等人制造了超弹性导电纤维。他们将碳纳米管覆盖在伸展的橡胶芯上,当橡胶芯松弛的时候,碳纳米管依然紧扣在芯上。这种复合纤维能极大程度的伸展,同时电阻几乎不发生变化。(Science 10.1126 / science.aaa 7952)
3.具有亚纳米级壁厚和可控晶面的铂纳米笼
(Platinum-based nanocages with subnanometer-thick walls and well-defined controllable facets)

尽管铂元素在催化燃料电池的氧化还原反应方面具有极佳的表现,不过由于其储量有限,人们仍在想办法提高其使用效率。 Zhang 等人制备了铂纳米笼晶体结构。他们在钯纳米晶体外面覆盖很薄的一层铂原子,随后再将钯核刻蚀掉。作者发现,基于正八面体和立方体的铂纳米笼在催化氧化还原反应方面表现出不同的催化活性。(Science 10.1126 / science.aab 0801 )
4.厚板折叠
(Origami of thick panels)

很多折叠方法可以应用于“零厚度”材料的折叠上,如纸张。不过对厚度较厚的材料来说,折叠它需要添加材料和补偿。 Chen 等发明了一种通用的模型,他们用刚性结构代替标准的圆柱形结构,这使得“零厚度”材料和厚材料的折叠是一样的。此外,转折处被限制只能沿着一个方向运动,这对于自动解折叠是很有用处的,例如太空中伸展太阳能面板或是伸展大型工程器械。(Science 10.1126 / science.aab 2870)
5.非浸润表面驱动的高深宽比晶粒用于高效杂化钙钛矿太阳能电池
(Non-wetting surface-driven high-aspect-ratio crystalline grain growth for efficient hybrid perovskite solar cells)

多晶薄膜太阳能电池中需要晶体具有高的深宽比以减少晶界间的电荷复合。不过,有机卤化钙钛矿电池(OTP)中晶区尺寸往往受到膜厚的限制。 Bi 等人报道了在非浸润空穴传输材料表面制备OTP薄膜的方法,得到的晶粒深宽比在 2.3-7.9 的范围内。减少的晶界极大地降低了OTP中电荷复合的概率,甚至达到单晶水平。他们用低温溶液加工的方法制备的平面异质结OTP器件的最高效率达到 18.3% 。这一提升OTP薄膜质量的简单方法有望用于提升其他光电子器件领域以提高性能。(Nature Communications DOI: 10.1038 / ncomms 8747 )
6.具有光诱导沉积的纳米颗粒用于污水净化
(Nanoparticles with photoinduced precipitation for the extraction of pollutants from water and soil)

纳米技术在环境净化方面可能具有更快、更高效的优势。 Brandl 等人制备了两亲性二嵌段共聚物光敏核壳型纳米颗粒。当用紫外线照射后,维持胶体稳定的保护层脱掉,剩余的纳米颗粒迅速形成宏观的聚集体,它可以快速吸附水中和土壤中的憎水性污染物质。初步的活体实验表明,光裂解纳米粒子处理可以显著降低双酚A,三氯沙等物质的致畸性,而且不会产生有毒副产物。(Nature Communications DOI : 10.1038 / ncomms 8765 )
7.二硫化钼钨合金的可控合成制备垂直组分多分子层
(Controllable synthesis of molybdenum tungsten disulfide alloy for vertically composition-controlled multilayer)

高效合成二维过渡金属二硫化物合金对于其在电子和光学器件上的应用非常重要。 Song 等使用超循环硫化作用原子层沉积 Mo1-xWxOy 的方法合成 Mo1-xWxS2 合金。光谱和电镜结果显示,所得合金中 Mo 原子和 W 原子已完全混合,并且通过控制组分和层数,材料的带隙可以调控。他们发现通过垂直组分控制方法得到的 Mo1-xWxS2 多层光探测器的光电流比用单纯的 MoS2- 和 WS2- 器件要高三到四倍,这主要得益于更宽的吸收光谱。(Nature Communications DOI : 10.1038 / ncomms 8817 )
8.锂-氧电池中水在空气阴极的催化作用
(The water catalysis atoxygen cathodes of lithium–oxygen cells)

锂氧电池因其高的理论能量密度而受到科学界的广泛关注。目前存在的主要问题是较低的循环效率和长期运行稳定性。不过,即便在当前的工艺水平下,电池的充电电势高达 3.5V ,比放电电势高 0.70V 。 Li 等报道了锂氧电池中空气阴极的在引入微量水之后,发生氧化还原反应的反应机理。他们发现水可以显著降低充电电势,因而使电池具有更小的充放电电势差,同时增强了电池循环运行的稳定性。整个过程减少了副反应的发生,为开发实用的锂氧电池提供思路。(Nature Communications DOI: 10.1038 / ncomms 8843 )
- 上一篇 >发行规模大增 2022年绿色债券市场扩容可期2022-02-17
- < 下一篇谷歌表示对“无人驾驶汽车撞上汽车”负责2016-03-11

