宁波材料所阐明电化学—化学协同沉积Ni-P薄膜生长机理
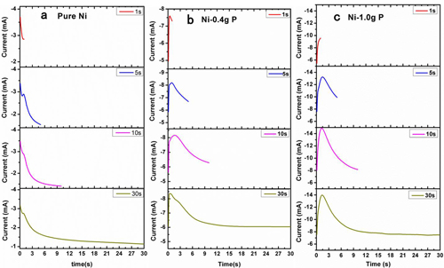
电解液中还原剂的加入,产生了去极化现象,增大了沉积电流。纯Ni薄膜沉积过程存在一个扩散控制区,而协同沉积过程中没有出现对应的扩散控制区现象。这说明协同沉积过程此时电极表面存在其它反应,增加了电流。纯Ni薄膜成核起始阶段出现的双电层充电现象也在协同沉积时消失(图1),这是由于还原剂的加入对双电层结构产生了影响。从形貌上来看,纯Ni薄膜沉积时得到的为平整薄膜状结构,Ni-P协 同沉积得到的成核形貌全部为球状结构,这是由于薄膜在成核初始阶段,由于电沉积的作用远远强于化学沉积,溶液中的镍离子首先会在电场的作用下被还原为金属 原子。起始沉积,镍原子的数量不多,因此比表面积较大悬键多,催化活性高,可以作为催化剂催化溶液中的还原剂与金属镍离子进行化学沉积,在这一高活性镍周 围沉积,形成了球状结构(图2)。即发生化学沉积所需要的催化剂是由电沉积成核时产生的高活性镍。这一过程导致了球状成核形貌的产生,与普通的薄膜状成核相比,存在明显差异。
该薄膜具有超疏水低接触角滞后等优异的性能,结合镍合金本身良好的防腐蚀性能,这一图案化薄膜在防腐方面具有应用价值的潜力。同时,图案化形貌的存在,不利于微生物在表面的吸附,也可以应用于防污领域。
此研究发现发表在英国皇家化学会杂志RSC advances(RSC Advances, 2015, 5, 27242 - 27248)上。
此研究工作得到了中国国家自然科学基金(No.51475450,51335010)和国家基础研究项目(No.2014CB643302)及浙江省创新团队(No. 2011R50006)的支持。
电沉积(a)和协同沉积(b, c)在及时电流曲线中差别:电流的下降区(a)在协同沉积过程中消失
电化学化学协同沉积示意图(左)和协同沉积与普通电沉积在阴极极化曲线和成核形貌之间的区别(右)
- 上一篇 >发行规模大增 2022年绿色债券市场扩容可期2022-02-17
- < 下一篇谷歌表示对“无人驾驶汽车撞上汽车”负责2016-03-11

