休斯顿大学发现可生产清洁能源的新材料

基体内的纳米杂质和共格晶界(来源:休斯顿大学)
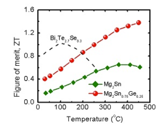
这种锗掺杂锡化镁新材料的相关文章发表在最新一期《国家科学院学报》(Proceedings of the National Academy of Sciences)上。文章的通讯作者、休斯顿大学德州超导中心M. D. Anderson首席教授任志峰说道,这种新材料的峰值功率因数55,品质因数(确定效率的关键因素)为1.4。
任教授说这种新材料(化学组成为Mg2Sn0.75Ge0.25)本身非常重要,他与来自MIT的Gang Chen和两位之前的学生共同成立了一个叫做APower的公司,来将该材料商业化。同时他指出文章的另一关键点是表明寻找具有除传统的高品质因数或效率(常用ZT值表征)之外,具有高功率因数、或输出功率密度材料的重要性。
他说“人们都在追求更高的ZT值,这是毫无疑问的。但是我们和大家一样都是通过降低导热率来提高ZT值。然而导热率的降低是有限的。我们需要提高的是功率因素。当导热率一定是,提高功率因素可以得到更高的ZT值。”
热电材料利用冷热区域之间电流的流动发电。在锗掺杂锡化镁中的载流子是电子。
刘玮书等人在文中写道:“追求高的ZT值一直是整个热电体系的焦点。然而实际应用时效率并不是唯一要考虑的。当热能含量巨大(比如太阳能)或者热源的成本不需要考虑(比如利用汽车或炼钢等产生的废热)时,高的输出功率密度和效率同样重要。”
研究人员报道这种锗掺杂锡化镁材料具相当标准的品质因数1.4和高的功率因数55。同时考虑到原材料的成本大约在每千克190美元。这些因素决定了该材料的商业化是可行的。
任教授表示,目前的一些竞争产品功率因素低,原材料确更昂贵。

与温度有关的热性能和ZT值。画出Bi2Te2.7Se0.3的ZT曲线进行比较。(来源:休斯顿大学)
任教授说,该材料通过机械球磨和直流引导热压制得。它可以用于废热利用和300摄氏度高温下实现聚光太阳能能量转换。典型的应用将包括在汽车排气系统中将热量转化为汽车需要的电力,以提高行驶里程或在水泥厂捕捉从烟囱余热发电供工厂使用。
新材料在线编译整理—— 翻译:赵欢
原文链接:http://www.pnas.org/content/early/2015/02/26/1424388112#
- 上一篇 >发行规模大增 2022年绿色债券市场扩容可期2022-02-17
- < 下一篇谷歌表示对“无人驾驶汽车撞上汽车”负责2016-03-11

