你,是否想过给自己"贴膜"
我们给手机贴膜,给电脑屏幕贴膜,你有没有想过,有一天,我们要给自己“贴膜”。新华社伦敦5月9日电(记者张家伟),一个美国团队9日在《自然·材料学》网络版发表报告说,他们开发的一种透明聚合物薄膜可作为“第二层皮肤”贴合在人体上,帮助消除皱纹,在护肤品开发和皮肤病治疗方面具有良好应用前景。

那么什么是聚合物薄膜,它又有什么哪些种类,哪些用途呢,让我们一起来了解下。
一、概述
聚合物薄膜是以有机高分子聚合物为材料制成的薄膜。随着石油工业和科技的发展,高分子膜的应用领域不断扩大,由最初的包装膜发展到了智能高分子膜、高分子功能膜等。其中用量最大的是选择性分离膜,如离子交换膜、微孔过滤膜、超过滤膜、液膜、液晶膜等。已应用的领域有核燃料及金属提炼、气体分离、海水淡化、超纯水制备、污废处理、人工脏器的制造、医药、食品、农业、化工等各方面。
二、定义
高分子分离膜:是由聚合物或高分子复合材料制得的具有分离流体混合物功能的薄膜,也称功能膜。膜分离是依据膜的选择透过性,将分离膜作间隔层,在压力差、浓度差或电位差的推动力下,借流体混合物中各组分透过膜的速率不同,使之在膜的两侧分别富集,以达到分离、精制、浓缩及回收利用的目的。单位时间内流体通过膜的量(透过速度)、不同物质透过系数之比(分离系数)或对某种物质的截留率是衡量膜性能的重要指标。

三、分类
按使用功能分为:混合物分离膜、药物释放缓释膜和分隔作用保护膜;
按被分离物质性质分为:气体分离膜、液体分离膜、固体分离膜、离子分离膜和微生物分离膜;
按被分离物质粒度大小分为:超细滤膜、超滤膜和微滤膜;
按膜形成过程分为:沉积膜、溶剂注膜、界面膜和动态形成膜;
根据膜性质分为:密度膜、相变形成膜、乳化膜和多孔膜。
四、材料种类及应用
| 类 别 |
膜材料 |
举 例 |
| 纤维素酯类 |
纤维素衍生物类 |
醋酸纤维素,硝酸纤维素,乙基纤维素等 |
| 非纤维素酯类 |
聚砜类 |
聚砜,聚醚砜,聚芳醚砜,磺化聚砜等 |
| 聚酰(亚)胺类 |
聚砜酰胺,芳香族聚酰胺,含氟聚酰亚胺等 |
|
| 聚酯、烯烃类 |
涤纶,聚碳酸酯,聚乙烯,聚丙烯腈等 |
|
| 含氟(硅)类 |
聚四氟乙烯,聚偏氟乙烯,聚二甲基硅氧烷等 |
|
| 其他 |
壳聚糖,聚电解质等 |
1.纤维素酯类膜材料
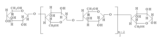
A、结构:纤维素是由几千个椅式构型的葡萄糖基通过1,4—β—甙链连接起来的天然线性高分子化合物,其结构式为:

从结构上看,每个葡萄糖单元上有三个羟基。在催化剂(如硫酸、高氯酸或氧化锌)存在下,能与冰醋酸、醋酸酐进行酯化反应,得到二醋酸纤维素或三醋酸纤维素。
B、材料特性:来源广、易制备、成膜好、耐氯强、表面光洁、不易结垢、耐污染、蛋白吸附量低。但PH值适用范围窄,PH=3-7,使用温度低,耐化学性差,易于水解,压密性较差,抗菌性差。
C、典性应用:大小输液的除菌过滤;注射液的除菌过滤;疫苗,生物制品和抗生素除菌过滤;细胞培养基,诊断试剂及含有蛋白质,维生素和防腐剂的制剂的除菌过滤;基因工程产品的除菌过滤;眼药液的除菌过滤;血清,血浆分离的除菌过滤。
2. 非纤维素酯类膜材料
A、非纤维素酯类膜材料的基本特性:
① 分子链中含有亲水性的极性基团;
② 主链上应有苯环、杂环等刚性基团,使之有高的抗压密性和耐热性;
③ 化学稳定性好;
④ 具有可溶性;
常用于制备分离膜的合成高分子材料有聚砜、聚酰胺、芳香杂环聚合物和离子聚合物等。
B、主要的非纤维素酯类膜材料
a、聚砜类:
聚砜结构中的特征基团

为了引入亲水基团,常将粉状聚砜悬浮于有机溶剂中,用氯磺酸进行磺化。聚砜类树脂常用的制膜溶剂有:二甲基甲酰胺、二甲基乙酰胺、N—甲基吡咯烷酮、二甲基亚砜等。

1)材料特性:双酚A型聚砜是最常用的制膜材料。聚醚砜双称聚苯醚砜。为了改善该材料的亲水性,常常对其磺化。两者均有优良的耐化学溶剂性能。除了强极性溶剂,浓硫酸、浓硝酸外,对一般的酸、碱、盐、醇、脂肪烃等化学试剂稳定。耐蒸汽性能好,能经受到50mg/L游离氯的长期侵蚀。但耐紫外线性能较差。它们均溶于氯代烃,并在酮类和酯类发生溶胀,部分溶解。
2)典型应用:大输液的除菌过滤、缓冲液的除菌过滤、注射用水的除菌过滤、清洗液和消毒液的除菌过滤、大批量药液的除菌过滤、任何需要超高流速的液体过滤。
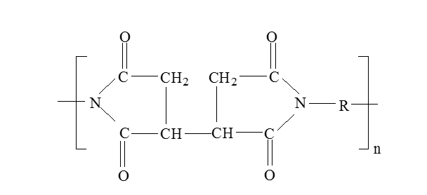
b、聚酰胺类(尼龙-6、尼龙-66)
Du Pont公司生产的DP—I型膜即为由此类膜材料制成的,它的合成路线如下式所示:

类似结构的芳香族聚酰胺膜材料还有:
1)材料特性:主要由二元酸和二元胺或氨基酸内酰胺经缩聚或自聚而得。因有酰胺基团,易形成氢键,有较强的机械强度及具有良好的亲水性。尼龙-66与尼龙-6相较,有更高的机械强度,更高的耐温性,更好的耐低温性。两者均有较好的耐碱性,良好的耐有机溶剂性能,耐脂耐油(矿物油和植物油)不耐酸。蛋白吸性较高。
2)典型应用:抗生素、维生素和其它发酵产品的除菌过滤;化学工业产品除菌过滤;兽用药品的除菌过滤;口服液、眼药液的除菌过滤;医药行业输液和针剂的除菌过滤;生理盐水和其它溶剂的除菌过滤;其它在制药、化工和化妆品行业中的低成本产品的除菌过滤。
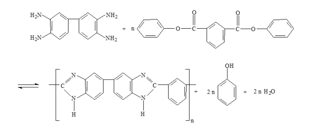
c、芳香杂环类
聚苯并咪唑类,如由美国Celanese公司研制的PBI膜即为此种类型。这种膜材料可用以下路线合成:

聚苯并咪唑酮类,这类膜的代表是日本帝人公司生产的PBLL膜,其化学结构为:

这种膜对0.5%NaCl溶液的分离率达90%~95%,并有较高的透水速率。
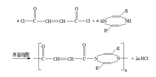
聚吡嗪酰胺类,这类膜材料可用界面缩聚方法制得,反应式为:

聚酰亚胺类,聚酰亚胺具有很好的热稳定性和耐有机溶剂能力,因此是一类较好的膜材料。
例如,下列结构的聚酰亚胺膜对分离氢气有很高的效率。

其中,Ar为芳基,对气体分离的难易次序如下:

聚酰亚胺溶解性差,制膜困难,因此开发了可溶性聚酰亚胺,其结构为:

d、乙烯基聚合物
用作膜材料的乙烯基聚合物包括聚乙烯醇、聚乙烯吡咯烷酮、聚丙烯酸、聚丙烯腈、聚偏氯乙烯、聚丙烯酰胺等。共聚物包括:聚丙烯醇/苯乙烯磺酸、聚乙烯醇/磺化聚苯醚、聚丙烯腈/甲基丙烯酸酯、聚乙烯/乙烯醇等。聚乙烯醇/丙烯腈接枝共聚物也可用作膜材料。
聚丙烯(PP):
1)材料特性:因分子链在空间排列上差异分等规和无规聚丙烯。膜的用材料为等规聚丙烯。等规聚丙烯是一种高度结晶热塑性树脂。有较好的耐热性及优异化学稳定性。在常温下,能耐受绝大多数化学溶剂除强氧化剂外。
2)典型应用(热喷纤维平板膜):应用于液体或气体中的杂质或颗粒。不作为除菌过滤。注射液的预过滤;去离子水系统的颗粒过滤;化学溶媒的去微粒过滤;生物制品的除颗粒的过滤。各种溶剂或溶液体的澄清过滤。
e、含氟(硅)类
1)聚偏二氟乙烯(PVDF)
①材料特性:PVDF是一种结晶性聚合物。有极好的耐侯性和化学稳定性。在室温下不被酸、碱、强氧化剂和卤素所腐蚀,对脂肪烃、芳香烃、醇、醛等有机溶剂稳定。发烟硫酸、强碱、酮、醚能使其溶胀或部分溶解。
②典型应用:疏水性PVDF在蒸汽过滤;各种腐蚀性气体的除菌过滤;有机溶剂的除菌过滤;制药行业压缩空气的除菌过滤;发酵罐进气或尾气的除菌过滤等方面。亲水性PVDF因蛋白吸附量低析出物少,广泛应用于生物制药中的除菌过滤,带正电荷PVDF可以用来除内毒素。
2)聚四氟乙烯(PTFE)
①材料特性:聚四氟乙烯从分子结构看是直链状热塑性聚合物。具有极其优秀的化学稳定性及极好的耐侯性。除了金属钠,氟元素及其化合物对它有一定的侵蚀作用外,能耐其它任何强酸、强碱、油脂及有机溶剂。天然的强疏水性。
②典型应用:因其天然的强疏水性被广泛应用于生物制药领域中的空气除菌除噬菌体如发酵罐的进气和尾气的除菌过滤及储存罐的除菌过滤。强腐蚀性溶媒除菌过滤和有机溶剂的除菌过滤。高表张力溶媒须对PTFE进行亲水化改性。
五、性能
1.透过性:膜的透过性是高分子膜材料非常重要的性能之一,几乎所有关于膜的报道都涉及此性能。实验结果表明,膜的透过性与温度、膜厚度、化学组成、制备工艺条件以及膜的微观结构形态有着密切的关系。
2.蒸馏性:膜蒸馏是以蒸气压差为动力的膜分离过程,其特点是在常压下和适当温度下可以处理高浓度的溶液。如在水溶液的膜蒸馏过程中,憎水的微孔膜把不同温度的水溶液隔开, 而暖侧的水蒸气在蒸气压差作用下, 不断通过膜孔进人冷侧而冷凝,从而达到膜蒸馏目的。
3.电性能:高聚物大部分是不导电的材料,所以能在电器工业上作绝缘材料使用。随着膜材料研究的发展,具有各种良好电性能的膜也相继出现。如聚毗咯(PPY ) 就是具有高导电率的材料, 但因它有难溶、难熔、难加工的缺点使其实用受到很大限制。有许多研究工作是通过聚毗咯与其他柔性高聚物在分子水平上进行复合,而获得具有高的力学性能和导电功能的高分子复合材料。
六、制备方法

七、前景及应用
高分子聚合膜广泛的应用于各种膜分离过程中。膜材料的性能直接决定了膜分离过程性能的高低,因而研制出具有高选择性、高通量、基本无缺陷并能大规模生产的膜一直以来是膜分离技术研究的重点内容。
膜蒸馏技术在海水和苦咸水的淡化、废水处理、低温果汁浓缩、中医药制备等领域得到了广泛的研究, 由于膜蒸馏淡化技术可以利用低品位能源( 如废热、太阳能等) 作为其驱动动力, 因而在能源紧张和水资源紧张的当今越来越受到重视。但是低蒸馏通量和价格高昂的膜材料成为制约膜蒸馏技术商业化应用的关键。
目前应用的高分子膜材料主要有三种, 即聚四氟乙烯( PTFE) 、聚偏氟乙烯( PVDF) 和聚丙烯( PP) 。它们的疏水性能都较好, 其中PTFE 膜的疏水性最好。从耐氧化性及化学稳定性看, PTFE 膜优于其他两种膜,这使得PTFE 膜在膜蒸馏过程中应用较广; PVDF 膜次之; PP 膜化学稳定性及耐氧化性相对较差,但由于价格低廉, 市场应用广阔。
- 上一篇 >发行规模大增 2022年绿色债券市场扩容可期2022-02-17
- < 下一篇全方位解读3D打印行业2016-05-17

