《自然》《科学》一周(07.18-07.24)材料科学前沿要闻
1.一种轻型形状记忆合金
(A lightweight shape-memory magnesiumalloy)
形状记忆合金(SMAs)受热可以恢复原来的形状,且具有超弹性。这使得其在诸多应用中具有很大的技术优势。许多多晶合金体系具有这些独特的特性,例如镍钛(TiNi)-,铜-,铁-,镍-,钴-,和钛-基合金,但是在如镁和铝这类轻合金中却没有发现这样的特性。
最近,Yukiko等人提出了一种镁形状记忆合金,其在-151℃呈现出4.4%的超弹性并且受热形状可以恢复。这种合金表现出的形状记忆特性源于可逆马氏体转变。这种镁合金含有轻量的钪,另外合金密度为2 g/cm3,与实际的镍钛形状记忆合金相比要低三分之一。
这一发现在多个领域促进了了轻型形状记忆合金的发展和应用潜力。(Science DOI:10.1126/science.aaf6524)
2. 环境湿度波动驱动的致动器
(An autonomous actuator driven by fluctuations in ambient humidity)
对环境状况微小波动做出响应的器件,为实现更加可持续和低功耗的致动元件与电子系统具有非常大的价值。
Hiroki等人展示了一种前所未有的看似是自主运行的薄膜致动元件,它能够响应由环境湿度波动引起极少量水的(几百纳克每10平方毫米)吸附与解吸附。其作动速度极快(每次卷曲50毫秒),且可以重复10000次以上不衰减。加热或受到光照时,该薄膜失去吸附的水并迅速弯曲,因此可以从一个平面上垂直跳起到10毫米的高度。该薄膜由一种π-堆积的氮化碳聚合物组成,由胍碳酸盐经单锅蒸镀聚合形成,它是具有坚硬、超轻和高各向异性特征的层状结构。另外,具有部分阻碍水吸附的作动元件也表现出单向性。(Nature Materials DOI:10.1038/NMAT4693)
3. 高硬度生物相容性金属间化合物β-Ti3Au
(High hardness in thebiocompatible intermetallic compound β-Ti3Au)
寻找新型坚硬材料的通常充满挑战性,但是这类材料广泛的应用潜力一直吸引着广大研究人员。Ti3Au表现出的高硬度值(约是纯Ti和大多数合金钢的四倍)、低摩擦系数和磨损率以及生物相容性,都是整形外科、牙科以及假体应用中最理想的特性。另外,这种化合物可以粘附到陶瓷部件上的能力可以同时降低医疗元件的重量和成本。相比于其他Ti-Au合金和化合物,Ti3Au硬度增加了四倍可以归因于价电子密度的提升,键长的减小和赝隙的形成。理解这种金属间化合物高硬度的来源,为设计其它优秀生物相容性硬质材料提供了途径。(Science Advances DOI: 10.1126/sciadv.1600319)
4. 薄片夹合的半无限石墨烯层构成的纳米复合材料
(Layered and scrollednanocomposites with aligned semi-infinite graphene inclusions at the plateletlimit)
二维材料可以在最大强化限制下独特地跨越其周围复合材料基体的物理尺寸。然而,连续二维材料占高体积分数时的排列和组装仍面临巨大挑战。
Liu等人通过堆叠和折叠的方法制作了多达320平行层、厚度跨度从0.032到0.11毫米的定向石墨烯/聚碳酸酯复合材料,在聚碳酸酯只有0.082%这样极低的体积分数下显著提升了有效弹性模量和强度。与之类似的,通过横向剪切滚动方法制成的阿基米德螺旋纤维也表现独特,其拉伸伸缩率达110%、比芳纶大30倍。两种复合材料在石墨烯平面轴向和透明方向分别都具有各向异性导电性。
这些复合材料在聚合物体积分数高度减少的情况下都具有很好的机械强化、电学和光学性质。(Science DOI: 10.1126/science.aaf4362)
5.含有固化阴离子的稳定电沉积使锂电池更安全
(Stabilizing electrodeposition in elastic solid electrolytescontaining immobilized anions)
金属的电沉积中离子传输驱动的不稳定性导致了形态的不稳定。为了提高锂电池的重复充电能力和安全性,锂电池中锂枝晶又重新引起了人们的注意。这些形态不稳定的增长速率可以通过固化一小部分电解质中的阴离子,从而来降低金属电极处的电场。
Mukul等人通过固化固体电解质中的阴离子分析了固体电解质弹性形变的作用,结合隔膜弹性和改进传输的作用,提出了在宽电流密度范围内影响平面沉积稳定性因素的理论。他们发现通过固化隔膜中一小部分阴离子能使电解质/隔膜具有中等类聚合物力学模量,这样即使在相对较高的电流密度下也能很容易地实现稳定电沉积。(Science Advances DOI: 10.1126/sciadv.1600320)
6. O2辅助的Al/CO2电化学电池:一个CO2捕获/转换并发电的系统
(The O2-assisted Al/CO2electrochemical cell: A system for CO2 capture/conversion and electric powergeneration)
经济高效地碳捕获、利用和封存技术是成功实施减少碳排放和减缓气候变化的全球行动计划的前提。这些技术同时也是长期使用化石燃料、同时降低相关碳排放所必要的。
Wajdi等人证明了由O2辅助的Al/CO2电化学电池是隔离二氧化碳排放同时产生大量电能的新方法。他们结合多种介入式电化学和物理分析方法提出了指导这些电池工作的基本原则。其中,这些方法包括计时电位法、循环伏安法、直接分析实时质谱、能量色散X射线光谱、X射线光电子能谱和结合热重分析法-傅里叶变换红外光谱法。在此基础上,他们表明这种以金属铝作为阳极,二氧化碳/氧气的气体混合物作为阴极活性材料的电化学电池提供了产生有价值元素和电能的途径。具体来讲,这种电池首先在阴极还原氧气形成超氧化物中间体。超氧化物与二氧化碳的反应以生成草酸铝的形式隔绝二氧化碳,其中草酸铝Al2(C2O4)3为主要生成物。在分析整个二氧化碳足迹的基础上,即考虑到铝阳极的生成物和Al/CO2-O2电化学电池捕获/减弱的二氧化碳,他们认为所提出的方法为减少二氧化碳排放提供了一种重要策略。(Science Advances DOI:10.1126/sciadv.1600968)
7. 三维碳纳米管筛
(3D meshes of carbonnanotubes guide functional reconnection of segregated spinal explants)
现代神经学中,与大脑融合的结构骨架研究方面的重要进展是纳米材料的使用。
最近Usmani等人展示了相互连接的、导电的纯碳纳米管组成的自支撑的多壁碳纳米管诱导体外神经网络的形成,神经突包的自发再生长形成致密的随机网络。这些被三维结构构成的纤维的再生长支撑了分割的脊柱片段的再连接。
这些三维器件在健康环境中也具有良好的体内适应性。(Science Advance DOI: 10.1126/sciadv.160002)
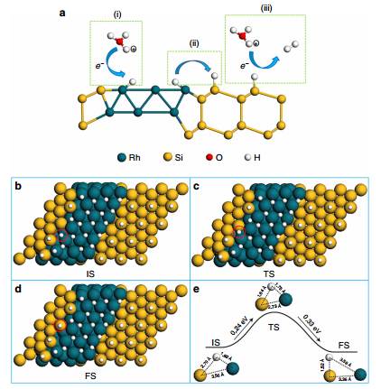
8. Rh/Si纳米线析氢电催化剂
(A rhodium/siliconco-electrocatalyst design concept to surpass platinum hydrogen evolution activityat high overpotentials)
目前,Pt基电催化剂在电解水过程中表现出最好的电催化性能。然而,所有的析氢电催化剂应该遵循Sabatier原则,也就是,催化剂表面的氢吸附既不能太高也不能太低,以达到能够平衡氢吸附和脱附。
为了克服这一原则的局限,Shao等人选择了Rh/Si纳米线催化剂,氢吸附发生在具有很大吸附能的Rh表面,而氢气的析出发生在具有很小吸附能的硅表面。
这种Rh/Si纳米复合材料表现出比Rh纳米颗粒更稳定的析氢性能,甚至超过商用Pt/C催化剂。(Nature Communications DOI: 10.1038/ncomms12272)
本文由新材料在线独家编译,如需转载,请加小编微信:13510323202,并注明“媒体合作”。未经允许私自转载或未按照要求格式转载,新材料在线将保留追究其法律责任的权利。
- 上一篇 >发行规模大增 2022年绿色债券市场扩容可期2022-02-17
- < 下一篇富士康投资纳米材料厂商 欲完成OLED屏幕拼图2016-07-26

